顏色色彩管理、配色

色差儀CIELab顏色空間及CIELab色差公式
色差儀在測量顏色時,是以國際上通用的CIELab顏色空間為依托,將顏色之間的差異值即色差,通過CIELab色差公式計算并給出具體數字,以此作為顏色合格與否的判斷標準。本文對色差儀CIELab顏色空間及CIELab色差公式做了介紹,對色差儀測色知識感興趣的朋友不妨了解一下!

色差儀CIELab顏色空間:
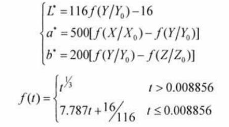
CIELab顏色空間是CIE1976L*a*b*均勻色度系統的簡稱,該顏色空間用三個維度來對顏色進行描述,其中:L*代表明度,a*、b*代表色度;+L*、-L*、+a*、-a*、+b*、-b*分別代表白、黑、紅、綠、黃、藍。CIELab顏色空間的定義為:

式中X0、Y0、Z0——CIE 標準照明體照射到完全漫反射體上,再經過完全漫反射面反射到觀察者眼中的白色的三刺激值,Y0=100;X、Y、Z——某顏色三刺激值;L*——米制亮度;a*、b*——米制色度
CIELab色度系統具有設備無關性,適用于一切光源色和物體色的表示和計算。
色差儀CIELab色差公式:
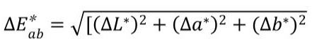
CIELab色差公式使用L*a*b*中兩種顏色的歐氏距離描述顏色的差別。假設兩個顏色樣本(L1*,a1*,b1*)和(L2*,a2*,b2*),則它們的△E*ab定義為:

式中:△L*=L1*-L2*、△a*=a1*-a2*、△b*=b1*-b2*,△L*明度差,△a*、△b*色度差。
該色差公式考慮了心理顏色的特點,對顏色空間均勻性有了很大改善,計算過程也相對簡單,所以該公式被廣泛的使用。但實際上,人們發現CIELab顏色空間的均勻性與人眼的真實顏色感覺存在微小差異。例如,接近中性色的顏色寬容量橢圓最小;隨著彩度增大,橢圓也隨著增大;除藍色外,大多數橢圓的長軸都指向原點,即不同顏色區域的顏色寬容量不同,人眼對不同顏色寬容量的變化趨向也不一致。
色差儀CIELab色差值的含義:
CIELab色差公式中,L*表示明度,a*表示紅色和綠色的成分,b*表示黃色和藍色的成分。色差是指用數值的方式表示兩種顏色給人色彩感覺上的差別,若兩個顏色都是按照L*a*b*標定的,則兩者的總色差以及各單項色差的含義如下:
明度差:△L*=L1*-L2*。△L*>0,表示樣品色比標準色淺,明度高;若△L*<0,說明樣品色比標準色深,明度低。
色度差:△a*=a1*-a2*、△b*=b1*-b2*。△a*>0,表示祥品色比標準色偏紅;若△a*<0,說明樣品色比標準色偏綠。△b*>0,表示樣品色比標準色偏黃;若△b*<0,說明樣品色比標準色偏藍。
總色差:△E*ab=[(△L*)2+(△a*)2+(△b*)2]1/2。一般可用△E*ab評價色差,△E*ab值越小表示色差越小;△E*ab值越大表示色差越大。
彩度差:△C*ab=C*ab,1-C*ab,2。△C*ab>0,表示樣品色比標準色彩度高,含“白光”或“灰分”較少;若△C*ab<0,說明樣品色比標準色彩度低,含“白光”或“灰分”較多。
色相角差:△h*ab=h*ab,1-h*ab,2。△h*ab>0,表示樣品色位于標準色的逆時針方向上;△h*ab<0,說明樣品色位于標準色的順時針方向上。根據標準色所處的位置,就可以判斷樣品色是偏綠還是偏黃。
色相差:△H*ab=[(△E*ab)2-(△L*)2-(△C*ab)2]1/2。△H*ab表示樣品色相角與標準色相角的差,△H*的計算結果由a*b*平面上的樣品顏色點相對于標準顏色點的位置所決定,在順時針向上△H*ab為正值,在逆時針方向上△H*ab為負值。