顏色色彩管理、配色

色差儀CIELab值和HunterLab值的區別是什么?
CIELab和HunterLab是色差儀比較常用的兩個顏色空間,這兩個顏色空間都是用三個維度來對顏色進行描述,且都使用L、a、b等符號來表示顏色信息。那么,色差儀CIELab值和HunterLab值的區別是什么?本文對此做了介紹。

CIELab顏色空間和色差公式:
1.CIELab顏色空間
CIELAB顏色空間是由CIE(國際照明委員會)組織所確定的一個理論上包括了人眼可以看的見的所有色彩模式,是目前色差儀中最為常見的顏色空間,由L(明度)、a(色度)、b(色度)共同組成,其含義如下:
L(亮度):表示顏色的明亮程度,取值范圍是0(絕對黑色)到100(絕對白色)。
a(紅綠軸):代表顏色在紅綠色軸上的位置。a值為正數時表示顏色偏紅,數值越大紅色的成分越明顯;a值為負數時表示顏色偏綠,絕對值越大綠色的成分越突出。在色彩分析中,a值可用于量化顏色在紅綠色調方面的特征。
b(黃藍軸):表示顏色在黃藍色軸上的位置。b值為正數時表示顏色偏黃,數值越大黃色的成分越多;b值為負數時表示顏色偏藍,絕對值越大藍色的成分越顯著。b值在描述顏色的色調和進行顏色匹配時非常關鍵。
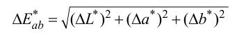
2.CIELab色差公式
CIELAB色差公式是基于近似均勻的三維顏色空間建立的,由直角坐標L*、a*、b*構成,國際照明委員會推薦使用。該色差公式建立在CIELAB顏色空間之上的,其顏色屬性差異可以用△L*、△a*、△b*,總色差使用三維空間中兩種顏色坐標之間的歐幾里得距離表示,如下所示:

HunterLab顏色空間和色差公式:
1.HunterLab顏色空間
HunterLab色彩空間是由Hunter提出的一種用于描述顏色的空間,它與CIELab色彩空間類似,但在計算方法和應用場景上有所不同。該色彩空間主要包含三個指標:L、a、b,以下是它們的介紹:
L(亮度):與CIELab中的L*類似,描述顏色的明亮程度。取值范圍一般在0到100之間,0表示絕對黑色,100表示絕對白色。
a(紅綠軸):表示顏色在紅綠色軸上的位置a值為正數時,顏色偏向紅色;a值為負數時,顏色偏向綠色。其數值的大小反映了顏色在紅綠色調上的偏離程度,絕對值越大,顏色在該方向上的特征越明顯,其數值范圍和計算方式與CIELab中的a*有所不同。
b(黃藍軸):代表顏色在黃藍色軸上的位置。b值為正數時,顏色偏向黃色;b值為負數時,顏色偏向藍色。同樣,b值的大小反映了顏色在黃藍色調上的偏離程度,絕對值越大,顏色的黃色或藍色特征越突出。同樣與CIELab中的b*在數值范圍和計算上存在差異。
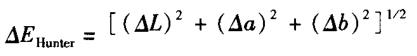
2.HunterLab色差公式
亨特色差公式是由亨特(Hunter)為使光電色度計讀數方便,而于1948年提出的Lab對抗色系統中計算色差的公式,大多用于陶瓷、塑料和紡織品等,一般可滿足工業生產管理的需要。在該系統中,L表示物體反射光的明度,a表示反射光中紅色與綠色的成分,b表示反射光中黃色與藍色的成分。因此,Lab系統的色差公式可表示為:

式中:△L、△a、△b分別為兩個物體表面色的明度差和色品坐標差。
色差儀CIELab和HunterLab的區別:
Lab指的是Hunter Lab,它是建立在顏色對立理論基礎上的三維直角坐標系,是不帶星號的。CIEL*a*b*(CIELAB)是慣常用來描述人眼可見的所有顏色的最完備的色彩模型。L、a和b后面的星號(*)是全名的一部分,因為它們表示L*、a*和b*,不同于L、a和b。這2種表色系統都是建立在顏色對立理論基礎上的,應用都比較廣泛,區分這2種表色系統還是很有必要的。
Hunter Lab和CIELAB顏色體系的計算公式不同,雖然都是由X、Y、Z經數學計算而來,但是色度量的取值不同。比如同樣是瓷磚的顏色——黃色,Hunter Lab體系的顏色參數值為L=61.42,a=+18.11,b=+32.23,而CIELAB體系的顏色參數值則分別為L*=67.81,a*=+19.56,b*=+58.16。兩個色度空間與視覺感官的均勻性都存在差異。比如雖然CIELAB色空間是CIE推薦的均勻顏色空間,而實際上CIELAB空間對于人眼的色彩感覺來說也還是不均勻的。在該空間的某個區域(如紅色區域)取2個色樣點與另一區域(如綠色區域)同等距離的2個色樣點作比較,會發現在紅色區域的2個色樣的視感覺差別和綠色區域的2個色樣的視感覺差別不一樣,即在不同顏色區域,色彩的寬容量數值是不相等的。