顏色色彩管理、配色

紡織色差儀色差計算常用的幾個色差公式
紡織色差儀是紡織行業常用的顏色管理及色差測量儀器,該類儀器內置多種類型的色差公式,可以對紡織品之間的顏色差異值進行量化的分析,并給出具體的數值。本文對紡織色差儀色差計算常用的幾個色差公式做了介紹。

紡織色差儀色差計算公式提出:
色差是指兩種試樣在顏色知覺上包含明度差、彩度差以及色相差等多方面因素的綜合效應,通過對色差的在一定寬容度下的評估,可以很好地對配色質量盡心控制。顏色色差的計算需要建立在一個均勻的色空間之中,在色差公式中,不同的顏色空間建立方式會導致計算方法的不同,得出的顏色結果與視覺之間的差異也會因為顏色空間的不同而有所不同。從1931年開始,學者們已經嘗試提出過幾十種均勻顏色空間,而CIE也曾先后提出過CIEUCS和CIEWUV,然而它們的效果并未達到預期。直到1976年,CIE通過了CIELAB均勻顏色空間,CIELAB能夠更加準確地捕捉色彩的變化,更加精確地表達色彩的變化,因此成為了目前應用最廣泛的均勻顏色空間之一。
然而,即使是建立了一個優秀的顏色空間,也無法保證對顏色的評價始終保持一致。視覺對顏色的感知具有極大的變化性,也導致了計算所得的顏色與人眼觀察的顏色總是存在差異。因此,在計算所得顏色的基礎上進行適當的修正是必要的,以使其更接近于人眼觀察所得的顏色。不同的修正方法會導致不同的計算公式,目前已經發表了多達幾十個不同的色差公式,其中應用比較多的主要包括:CIELAB(L*a*b*)色差公式、CMC(l:c)色差公式等。
紡織色差儀色差計算常用色差公式類型:
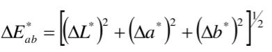
1.CIELAB(L*a*b*)色差公式
CIELAB(L*a*b*)色差公式是一種建立在孟塞爾顏色系統之上的計算公式,在該顏色空間中,只有黃、藍、紅、綠四種基本色,每一個點都可以用其黃、藍或紅、綠的程度來表示。在這個三維的顏色空間中,L*軸用來表示顏色的明亮程度,稱為明度,其取值在0~100,數值越高則明度越高;a*軸用來表示顏色的紅綠特征,如果其數值是正值,則表示顏色是偏紅的,反之則意味著顏色偏向于綠色;b*軸用來表示顏色的黃藍特性,如果其數值是正值,意味著顏色偏向于黃色,反之則意味著顏色偏向于藍色。CIELAB色空間色差的定義就是兩個顏色在CIELAB均色空間的歐式距離,具體色差公式為:

式中,△L*、△a*、△b*分別為樣品與標準樣在L*、a*、b*上的差值。
2.CIELAB(L*C*H*)色差公式
與CIELAB色差公式用 a*、b*表示顏色的紅綠、黃藍程度不同,CIELAB(L*C*H*)色差公式則是用C*、H*表示顏色的鮮艷程度與顏色在色相環上的色度角。彩度C*用a*軸與b*軸所處的平面表示,在此顏色空間上的任意一點到平面中心軸線的距離為該點的彩度值。色相角H*該點與平面中心線的連線與a*軸沿著逆時針方向上形成的夾角表示。CIELAB(L*C*H*)色差公式與CIELAB色差公式相似:

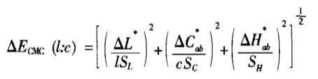
3.CMC(l:c)色差公式
CMC(l:c)色差公式通過引入參數l和c,分別對CIELAB色差公式中的△L*、C*、△H*進行修正,使色差均勻度得到了改善。CMC(l:c)色差公式的公式為:

式中,分母里的SL、SC、SH分別為△L*、△C*、△H*的修正系數,l和c是用于調整相對明度和彩度的寬容系數。